

一、概述
CTLNY型 V錐流量計是集經典文丘里管及環形孔板的優點為一體的新型節流裝置,其理論原理是基于封閉管道中能量守恒定律伯努利方程和流動連續性方程,在穩定流的情況下管道中的流速與差壓的平方根成正比。V錐流量計穩定性好、準確性高、重復性好、量程比寬、對安裝管段要求低、壓損小,可測量含有顆粒流體、低壓流體、高含濕氣體及各種臟污流體。
二、V錐流量計適用范圍
1、公稱直徑:15mm≤DN≤1800mm
2、公稱壓力:PN≤40MPa
3、雷諾數范圍:5×10 3≤ReD≤10 7
4、精度等級:0.5級,1級
5、直管段長度:前1~3D,后0~1D
6、適用介質:氣體、液體、蒸汽等各種介質
7、孔徑比:β=0.3~0.75
8、*高溫度:540℃
9、重復精度:±0.1%
10、量程比:15:1



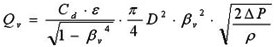
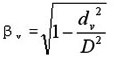
經過簡化后公式為: 式中:QV———流體體積流量m3/h Cd———流出系數 βV———等效直徑比 ![]() dV———為錐體大直徑,D為管道內徑 ρ———流體工況下密度 ε———氣體可膨脹系數 | ![]() |

五、V錐流量計產品選型說明

六、訂貨須知
訂貨時請詳細提供以下數據:
1、被測介質
2、大、常用、小流量。
3、工作壓力、工作溫度
4、介質密度、粘度
5、管道材質、內徑、外徑
6、現場管道敷設情況和局部阻力件形式。
售后服務: