
一、概述
CTLNQ均速管流量計亦稱阿牛巴流量計。均速管是在皮托管測速原理的基礎上發展而來的,由于壓損小、制造成本低、安裝維護方便,各國都有廣泛適用。
二、阿牛巴流量計工作原理
均速管的測量原理是將整個圓截面分成多個單元面積相等的圓環(中間為圓)。均速管的檢測桿是一根中空的金屬管。
三、阿牛巴流量計適用范圍
1、 公稱壓力:25mm≤DN≤6000mm
2、 公稱壓力:PN≤25MPa
3、 介質溫度:650℃
4、 精度等級:1級,1.5級,2.5級
四、阿牛巴流量計產品選型

五、阿牛巴流量計結構形式
均速管是檢測桿、取壓口和導桿組成,它橫穿管道內部與管軸垂直,在檢測桿迎流面上設有多個總壓檢測孔,分別由總壓導壓管和靜壓導壓管引出,根據總壓與靜壓的差壓值,計算流經管道流量。檢測桿的截面形狀見下圖:
六、阿牛巴流量計結構形式理論基礎 均速管流量計是基于皮托管測速原理上發展起來的,它是通過管道的平均流速及管道的有效截面積的乘積來確定流量的。
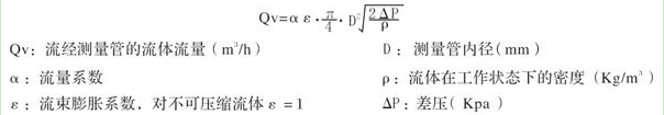
它的流量計算公式為:
七、阿牛巴流量計安裝要求 1、 安裝檢測桿的測量段應是直的,其上下游直管段長度參照下表所規定的長度。 注:1、D為管道標稱直徑,所給出數據為距離第二個彎頭的長度。
2、 檢測桿插入位置的角度允許偏差范圍見圖五。
3、 對于垂直管道,檢測桿可安裝在管道水平面沿管道圓周360°的任何位置上,高低壓引壓管接頭應處于同一水平面上。對于水平管道,在測量液體時檢測桿插入位置應位于管道橫截面水平面中心線45°以下的范圍內;測量氣體時檢測桿插入位置應位于管道橫截面水平面中心線45°以上的范圍內;測量蒸汽時檢測桿應水平插入,見圖六:
4、 管道上開孔尺寸Φ40。
5、 補償用壓力變送器在前直管段上,溫度變送器(或鉑電阻)裝在后直管段上距離節流裝置2D處。
八、訂貨須知
訂貨時請詳細提供以下數據:
1、被測介質
2、大、常用、小流量。
3、工作壓力、工作溫度
4、介質密度、粘度
5、管道材質、內徑、外徑
6、現場管道敷設情況和局部阻力件形式。
售后服務:
1、我公司所售產品在一年之內出現質量問題的(非人為因素外),免費維修。
2、產品在質保期內如用戶使用不當,造成產品損壞,我公司負責維修,收取損壞部件成本費。
3、如果用戶需要我公司現場服務,我公司以*短時間到達用戶現場。
4、本公司所售產品均享受終生維護。
西安誠通自動化設備有限公司
銷售熱線:029-88627567 18091867621李經理